









证券代码:002981 证券简称:朝阳科技 公告编号:2023-031
半年度报告摘要
2023
广东朝阳电子科技股份有限公司
第三届董事会第十五次会议决议公告
一、重要提示
本半年度报告摘要来自半年度报告全文,为全面了解本公司的经营成果、财务状况及未来发展规划,投资者应当到证监会指定媒体仔细阅读半年度报告全文。
所有董事均已出席了审议本报告的董事会会议。
非标准审计意见提示
□适用 √不适用
董事会审议的报告期普通股利润分配预案或公积金转增股本预案
□适用 √不适用
公司计划不派发现金红利,不送红股,不以公积金转增股本。
董事会决议通过的本报告期优先股利润分配预案
□适用 √不适用
二、公司基本情况
1、公司简介
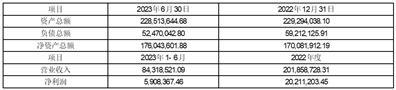
2、主要财务数据和财务指标
公司是否需追溯调整或重述以前年度会计数据
□是 √否
3、公司股东数量及持股情况
单位:股
4、控股股东或实际控制人变更情况
控股股东报告期内变更
□适用 √不适用
公司报告期控股股东未发生变更。
实际控制人报告期内变更
□适用 √不适用
公司报告期实际控制人未发生变更。
5、公司优先股股东总数及前10名优先股股东持股情况表
□适用 √不适用
公司报告期无优先股股东持股情况。
6、在半年度报告批准报出日存续的债券情况
□适用 √不适用
三、重要事项
无
证券代码:002981 证券简称:朝阳科技 公告编号:2023-028
本公司及董事会全体成员保证信息披露的内容真实、准确、完整,没有虚假记载、误导性陈述或重大遗漏。
一、董事会会议召开情况
1、本次会议通知已于2023年8月15日送达至每位董事;
2、本次董事会于2023年8月25日以现场和通讯相结合的方式在公司会议室召开;
3、本次董事会应参加会议董事7人,实际参加会议董事7人;
4、本次会议由董事长沈庆凯先生召集和主持,公司全体监事、总经理及部分其他高级管理人员列席;
5、本次会议的召集和召开符合《中华人民共和国公司法》和本公司章程的有关规定。
二、董事会会议审议情况
1、审议并通过《2023年半年度报告及摘要》
具体内容详见公司同日刊登在巨潮资讯网(www.cninfo.com.cn)上的《2023年半年度报告》(公告编号:2023-030)及刊登在巨潮资讯网(www.cninfo.com.cn)、《中国证券报》、《证券日报》、《证券时报》、《上海证券报》上的《2023年半年度报告摘要》(公告编号:2023-031)。
表决结果:同意7票;反对0票;弃权0票,表决通过。
2、审议并通过《关于续聘2023年度会计师事务所的议案》
具体内容详见公司同日刊登在巨潮资讯网(www.cninfo.com.cn)、《中国证券报》、《证券日报》、《证券时报》、《上海证券报》上的《关于续聘2023年度会计师事务所的公告》(公告编号:2023-032)。
独立董事对本议案发表了事前认可意见和同意的独立意见。
表决结果:同意7票;反对0票;弃权0票,表决通过。
本议案需提交股东大会审议。
3、审议并通过《关于签署〈股权转让协议〉暨关联交易的的议案》
具体内容详见公司同日刊登在巨潮资讯网(www.cninfo.com.cn)、《中国证券报》、《证券日报》、《证券时报》、《上海证券报》上的上的《关于签署〈股权转让协议〉暨关联交易的公告》(公告编号:2023-033)。
独立董事对本议案发表了事前认可意见和同意的独立意见。
表决结果:同意4票;反对0票;回避3票;弃权0票;表决通过。关联董事沈庆凯先生、郭丽勤女士、郭荣祥先生回避表决。
4、审议并通过《关于2023年半年度计提资产减值准备的议案》
具体内容详见公司同日刊登在巨潮资讯网(www.cninfo.com.cn)、《中国证券报》、《证券日报》、《证券时报》、《上海证券报》上的《关于2023年半年度计提资产减值准备的公告》(公告编号:2023-035)。
独立董事对本议案发表了同意的独立意见。
表决结果:同意7票;反对0票;弃权0票;表决通过。
5、审议并通过《关于召开2023年第一次临时股东大会的议案》
根据《公司法》的有关规定,公司拟于2023年9月18日召开2023年第一次临时股东大会。
具体内容详见公司同日刊登在巨潮资讯网(www. cninfo.com.cn)、《中国证券报》、《证券日报》、《证券时报》、《上海证券报》上的《关于召开2023年第一次股东大会的通知》(公告编号:2023-036)。
表决结果:同意7票;反对0票;弃权0票;表决通过。
三、备查文件
1、第三届董事会第十五次会议决议;
2、独立董事关于第三届董事会第十五次会议有关事项的事前认可意见;
3、独立董事关于第三届董事会第十五次会议有关事项的独立意见。
特此公告。
广东朝阳电子科技股份有限公司董事会
2023年8月28日
证券代码:002981 证券简称:朝阳科技 公告编号:2023-029
广东朝阳电子科技股份有限公司
第三届监事会第十五次会议决议公告
本公司及监事会全体成员保证信息披露的内容真实、准确、完整,没有虚假记载、误导性陈述或重大遗漏。
一、监事会会议召开情况
1、本次会议通知于2023年8月15日送达至每位监事;
2、本次监事会于2023年8月25日以现场和通讯相结合的方式在公司会议室召开;
3、本次监事会应参加会议监事3人,实际参加会议监事3人;
4、本次会议由监事会主席孙逸文先生召集和主持,公司全体监事出席、会议记录人员列席;
5、本次会议的召集和召开符合《中华人民共和国公司法》和本公司章程的有关规定。
二、监事会会议审议情况
1、审议并通过《2023年半年度报告及摘要》
监事会认为:董事会编制的公司《2023年半年度报告》的程序符合法律、行政法规和中国证监会的规定,报告内容真实、准确、完整地反映了公司的实际情况,不存在任何虚假记载、误导性陈述或重大遗漏。
具体内容详见公司同日刊登在巨潮资讯网(www.cninfo.com.cn)上的《2023年半年度报告》(公告编号:2023-030)及刊登在巨潮资讯网(www.cninfo.com.cn)、《中国证券报》、《证券日报》、《证券时报》、《上海证券报》上的《2023年半年度报告摘要》(公告编号:2023-031)。
表决结果:同意3票;反对0票;弃权0票,表决通过。
2、审议并通过《关于续聘2023年度会计师事务所的议案》
监事会认为:容诚会计师事务所(特殊普通合伙)具备证券、期货相关业务审计从业资格,具备从事上市公司审计业务的丰富经验和职业素养,在之前为公司提供审计服务的工作中,能够遵循独立、客观、公正的职业准则,较好的完成了公司委托的审计工作。因此,监事会同意续聘容诚会计师事务所(特殊普通合伙)为公司2023年度审计机构。
具体内容详见公司同日刊登在巨潮资讯网(www.cninfo.com.cn)、《中国证券报》、《证券日报》、《证券时报》、《上海证券报》上的《关于续聘2023年度会计师事务所的公告》(公告编号:2023-032)。
表决结果:同意3票;反对0票;弃权0票,表决通过。
本议案需提交股东大会审议。
3、审议并通过《关于签署〈股权转让协议〉暨关联交易的议案》
监事会认为:公司本次向非关联方购买公司控股子公司股权,符合公司发展战略,股权转让资金为公司自有资金,不会对公司正常经营产生不利影响,交易各方在本次交易中遵循平等自愿的原则,不存在损害公司及全体股东利益的情形。
具体内容详见公司同日刊登在巨潮资讯网(www.cninfo.com.cn)、《中国证券报》、《证券日报》、《证券时报》、《上海证券报》上的《关于签署〈股权转让协议〉暨关联交易的公告》(公告编号:2023-033)。
表决结果:同意3票;反对0票;弃权0票,表决通过。
4、审议并通过《关于补选第三届监事会非职工代表监事的议案》
鉴于第三届监事会非职工代表监事孙逸文先生、明幼阶先生已向公司监事会提出辞职申请,为保证监事会的正常运作,根据《公司法》、《深圳证券交易所上市公司自律监管指引第1号一一主板上市公司规范运作》及《公司章程》的有关规定,经公司监事会提名并审核相关人员的工作履历和任职资格,同意补选陈是建先生、罗琼女士为公司第三届监事会非职工代表监事候选人,任期自公司股东大会审议通过之日起至第三届监事会任期届满之日止。
具体内容详见公司同日刊登在巨潮资讯网(www.cninfo.com.cn)、《中国证券报》、《证券日报》、《证券时报》、《上海证券报》上的《关于补选第三届监事会非职工代表监事的公告》(公告编号:2023-034)。
表决结果:3票同意,0票反对,0票弃权,表决通过。
本议案需提交股东大会审议。
5、审议并通过《关于2023年半年度计提资产减值准备的议案》
监事会认为:公司根据《企业会计准则》和公司相关会计制度的有关规定,计提资产减值准备,符合公司资产及经营的实际情况,审议程序合法合规、依据充分。本次计提资产减值准备后能够公允地反映公司的资产状况及经营成果,监事会同意本次计提资产减值准备事项。
具体内容详见公司同日刊登在巨潮资讯网(www.cninfo.com.cn)、《中国证券报》、《证券日报》、《证券时报》、《上海证券报》上的《关于2023年半年度计提资产减值准备的公告》(公告编号:2023-035)。
表决结果:同意3票;反对0票;弃权0票,表决通过。
三、备查文件
1、第三届监事会第十五次会议决议。
特此公告。
广东朝阳电子科技股份有限公司监事会
2023年8月28日
证券代码:002981 证券简称:朝阳科技 公告编号:2023-035
广东朝阳电子科技股份有限公司关于2023年半年度计提资产减值准备的
公告
本公司及董事会全体成员保证信息披露的内容真实、准确、完整,没有虚假记载、误导性陈述或重大遗漏。
广东朝阳电子科技股份有限公司(以下简称“公司”)于2023年8月25日召开了第三届董事会第十五次会议、第三届监事会第十五次会议,审议通过了《关于2023年半年度计提资产减值准备的议案》,现将有关情况公告如下:
一、本次计提资产减值准备情况概述
根据《企业会计准则》、《深圳证券交易所股票上市规则》和本公司会计政
策的规定和要求,为更真实、准确反映公司截至2023年6月30日的财务状况、资产价值及经营成果,公司基于谨慎性原则,对各类资产进行了全面清查,对部分应收款项、存货等计提了资产减值准备。
二、本次计提资产减值准备的资产范围及金额
经过公司及下属子公司对 2023年6月30日可能存在减值迹象的资产进行清
查后,公司拟计提的各项资产减值准备合计6,533,588.06元,具体情况如下:
(一) 信用减值损失
(二) 资产减值损失
三、资产减值准备计提方法及情况说明
(一)信用减值准备
公司基于应收账款、应收款项融资、其他应收款、应收票据等金融资产的性质和客户信用风险特征,按照单项和组合评估预期信用损失,计提信用减值准备。
单项计提:有证据表明单项应收款项发生减值时,单独进行减值测试,确认单项应收款项的减值损失。
组合计提:以预期信用损失模型为基础,考虑不同客户信用风险特征,以客户信用等级组合和账龄组合,结合历史信用损失、当前状况、对未来经济状况的预测等合理且有依据的信息,确定整个存续期内的预期信用损失。
(二)存货跌价准备
公司存货跌价准备的计提标准为:资产负债表日,存货采用成本与可变现净值孰低计量,按照单个存货成本高于可变现净值的差额计提存货跌价准备。直接用于出售的存货,在正常生产经营过程中以该存货的估计售价减去估计的销售费用和相关税费后的金额确定其可变现净值;需要经过加工的存货,在正常生产经营过程中以所生产的产成品的估计售价减去至完工时估计将要发生的成本、估计的销售费用和相关税费后的金额确定其可变现净值;资产负债表日,同一项存货中一部分有合同价格约定、其他部分不存在合同价格的,分别确定其可变现净值,并与其对应的成本进行比较,分别确定存货跌价准备的计提或转回的金额。
四、本次计提资产减值准备对公司的影响
本次计提资产减值损失基于谨慎性原则,根据《企业会计准则》及公司的实际情况,客观地体现了公司资产的实际情况。本次公司计提资产减值准备共计人民币6,533,588.06元,相应减少公司2023年6月30日合并报表利润总额 6,533,588.06元。公司本次计提资产减值准备为公司财务部测算结果,未经会计师事务所审计。
五、董事会关于计提资产减值准备的合理性说明
公司本次计提资产减值准备,符合相关法律、法规及《企业会计准则》的有关规定,符合公司资产实际情况,能够更加公允地反映公司的财务状况和经营成果;本次计提资产减值准备是基于谨慎性原则做出的,依据真实、可靠,确保了公司财务报告的准确、完整,使公司的会计信息更具合理性。
六、监事会意见
第三届监事会第十五次会议审议通过了《关于2023年半年度计提资产减值准备的议案》,监事会认为:公司根据《企业会计准则》和公司相关会计制度的有关规定,计提资产减值准备,符合公司资产及经营的实际情况,审议程序合法合规、依据充分。本次计提资产减值准备后能够公允地反映公司的资产状况及经营成果,监事会同意本次计提资产减值准备事项。
七、独立董事意见
独立董事认为:公司本次计提资产减值准备遵循了谨慎性原则,符合《企业会计准则》和公司会计政策的规定,符合公司的实际情况,计提后公司的财务报表能够客观、公允地反映公司资产状况及经营成果。本次计提资产减值准备决策程序符合相关法律法规的要求,不存在损害公司及全体股东特别是中小股东利益的情形,同意本次计提资产减值准备。
五、备查文件
1、第三届董事会第十五次会议决议;
2、第三届监事会第十五次会议决议;
3、独立董事关于第三届董事会第十五次会议有关事项的独立意见。
特此公告。
广东朝阳电子科技股份有限公司董事会
2023年8月28日
证券代码:002981 证券简称:朝阳科技 公告编号:2023-036
广东朝阳电子科技股份有限公司关于
召开2023年第一次临时股东大会的
通知
本公司及董事会全体成员保证信息披露的内容真实、准确、完整,没有虚假记载、误导性陈述或重大遗漏。
广东朝阳电子科技股份有限公司(以下简称“公司”)于2023年8月25日召开了第三届董事会第十五次会议,决定于2023年9月18日(星期一)召开2023年第一次临时股东大会,现将有关事项通知如下:
一、召开会议的基本情况
1、股东大会届次:2023年第一次临时股东大会
2、股东大会的召集人:公司董事会
3、会议召开的合法、合规性:经公司第三届董事会第十五次会议审议通过,决议召开。本次股东大会的召集符合有关法律、行政法规、部门规章、规范性文件、交易所业务规则和《公司章程》等的规定。
4、会议召开的日期、时间:
现场会议召开时间:2023年9月18日下午14:30
网络投票时间:
通过深圳证券交易所交易系统进行网络投票的具体时间为:2023年9月18日上午9:15一9:25,9:30一11:30,下午13:00-15:00;
通过深圳证券交易所互联网投票系统投票的具体时间为:2023年9月18日上午9:15一2023年9月18日下午15:00期间任意时间。
5、会议的召开方式:采用现场投票与网络投票相结合的方式。
(1)现场投票:包括本人出席及通过填写授权委托书授权他人出席。
(2)网络投票:公司将通过深圳证券交易所互联网投票系统和交易系统向股东提供网络形式的投票平台,公司股东应在本通知列明的有关时限内通过深圳证券交易所的交易系统或互联网投票系统进行网络投票。
(3)公司股东应选择现场投票、网络投票中的一种方式进行表决,如果同一表决权出现重复投票表决的,以第一次投票表决结果为准。
6、会议的股权登记日:2023年9月11日(星期一)
7、出席对象:
(1)在股权登记日持有公司股份的普通股股东或其代理人;
于股权登记日下午收市时在中国结算深圳分公司登记在册的公司全体普通股股东均有权出席股东大会,并可以以书面形式委托代理人出席会议和参加表决,该股东代理人不必是本公司股东。
(2)公司董事、监事和高级管理人员;
(3)公司聘请的律师;
(4)根据相关法规应当出席股东大会的其他人员。
8、现场会议召开地点:广东省东莞市企石镇旧围工业区公司会议室
二、会议审议事项
1、本次股东大会拟审议的提案
2、特别提示和说明
(1)上述提案已经2023年8月25日召开的公司第三届董事会第十五次会议、第三届监事会第十五次次会议审议通过。具体内容详见公司同日刊登在巨潮资讯网(www.cninfo.com.cn)上的相关公告。
(2)本次股东大会审议事项属于影响中小投资者利益的重大事项,根据《上市公司股东大会规则》的要求,公司将进行中小投资者表决单独计票,单独计票结果将及时公开披露。
三、会议登记等事项
1、登记方式:采取现场、信函或传真方式登记;不接受电话登记。
(1)自然人股东应持本人身份证、股东账户卡或持股凭证办理登记手续;委托代理人的,应持代理人身份证、授权委托书(详见附件二)、委托人股东账户卡及身份证在通知中确定的登记时间办理参会登记手续。法人股东应持股东账户卡、加盖公章的营业执照复印件、法定代表人身份证明及身份证办理登记手续;委托代理人的,应持代理人本人身份证、加盖公章的营业执照复印件、授权委托书(详见附件二)及委托人股东账户卡在通知确定的登记时间办理参会登记手续。
(2)异地股东可采用信函或传真的方式登记。传真或信函在2023年9月15日下午17:00前送达或传真至公司证券部。请采用信函或传真方式进行登记的股东,在信函或传真发出后,拨打公司证券部电话进行确认。
来信请寄:广东省东莞市企石镇旧围工业区广东朝阳电子科技股份有限公司,邮编:523000
(来信请注明“股东大会”字样),传真:0769一86760101
2、登记时间:
2023年9月15日上午9:30一11:30,下午14:00一17:00
3、登记地点:
广东省东莞市企石镇旧围工业区广东朝阳电子科技股份有限公司证券部
4、会议联系方式:
会议联系人:袁宏、蔡文福
联系邮箱:[email protected]
联系电话:0769-86768336
传真:0769-86760101
5、参会人员的食宿及交通费用自理。
6、请准备出席现场会议的股东或股东代理人在公司本次股东大会的会议登记时间内报名。为保证会议的顺利进行,请携带相关证件原件于会前三十分钟办理会议入场手续,迟到或未按规定办理相关手续者不得入场。
7、网络投票系统异常情况的处理方式:网络投票期间,如网络投票系统遭遇突发重大事件的影响,本次股东大会的进程按当日通知进行。
四、参加网络投票的具体操作流程
本 次 股 东 大 会 股 东 可 以 通 过 深 交 所 交 易 系 统 和 互 联 网 投 票 系 统 ( 地 址为http://wltp.cninfo.com.cn)参加投票,参加网络投票时涉及具体操作的内容和格式详见附件一。
五、备查文件
1、第三届董事会第十五次会议决议;
2、第三届监事会第十五次会议决议。
广东朝阳电子科技股份有限公司董事会
2023年8月28日
附件一:
参加网络投票的具体操作流程
一、网络投票的程序
1、投票代码与投票简称:投票代码为“362981”,投票简称为“朝阳投票”。
2、填报表决意见或选举票数。
(1)对于非累积投票提案,填报表决意见:同意、反对、弃权。
(2)对于累积投票提案,填报投给某候选人的选举票数。上市公司股东应当以其所拥有的每个提案组的选举票数为限进行投票,股东所投选举票数超过其拥有选举票数的,其对该项提案组所投的选举票均视为无效投票。如果不同意某候选人,可以对该候选人投0票。
累积投票制下投给候选人的选举票数填报一览表
(3)各提案组下股东拥有的选举票数说明如下:
选举监事(即本次股东大会提案编码表中的提案2,采用等额选举,应选人数为2位)股东所拥有的选举票数=股东所代表的有表决权的股份总数×2,股东可以在2位监事候选人中将其拥有的选举票数任意分配,但投票总数不得超过其拥有的选举票数。
二、 通过深交所交易系统投票的程序
1、投票时间:2023年9月18日的交易时间,即上午9:15一9:25,9:30一11:30,下午13:00一15:00;
2、股东可以登录证券公司交易客户端通过交易系统投票。
三、通过深交所互联网投票系统投票的程序
1、互联网投票系统开始投票的时间为2023年9月18日(现场股东大会召开日)上午9:15,结束时间为2023年9月18日(现场股东大会结束当日)下午15:00。
2、股东通过互联网投票系统进行网络投票,需按照《深圳证券交易所投资者网络服务身份认证业务指引》的规定办理身份认证,取得“深交所数字证书”或“深交所投资者服务密码”。具体的身份认证流程可登录互联网投票系统http://wltp.cninfo.com.cn 规则指引栏目查阅。
3、股东根据获取的服务密码或数字证书,可登录http://wltp.cninfo.com.cn 在规定时间内通过深交所互联网投票系统进行投票。
附件二:
授权委托书
本人(本单位)作为广东朝阳电子科技股份有限公司股东,兹授权 先生/女士(身份证号码: ), 代表本人(本单位)出席广东朝阳电子科技股份有限公司于2023年9月18日召开的2023年第一次临时股东大会,并在会议上代表本人(本单位)行使表决权。
投票指示如下:
注:对于非累积投票提案,请在“同意”、“反对”、“弃权”栏之一打“√”,每一议案,只能选填一项表决类型,不选或者多选视为无效。如委托人未作出明确投票指示,则受托人可以按照自己的意愿表决,其行使表决权的后果均由委托人承担。
对于累积投票议案,股东所拥有的选举票数为其所持有表决权的股份数量乘以应选人数,股东可以将所拥有的选举票数以应选人数为限在候选人中任意分配(可以投出0票),但总数不得超过其拥有的选举票数。委托人若无明确指示,受托人可以自行投票。
委托人名称(签名或盖章):
委托人身份证号码或统一社会信用代码:
委托人持股性质: 委托人持股数量:
委托人股东账户号码:
委托日期:
委托书有效期限:
受托人签字:
证券代码:002981 证券简称:朝阳科技 公告编号:2023-033
广东朝阳电子科技股份有限公司
关于签署《股权转让协议》暨关联交易的公告
本公司及董事会全体成员保证信息披露的内容真实、准确、完整,没有虚假记载、误导性陈述或重大遗漏。
一、 关联交易概述
(一)关联交易基本情况
广东朝阳电子科技股份有限公司(以下简称“公司”)与王本银就广州飞达音响有限公司(以下简称“飞达音响”)股权转让事宜签订了《股权转让协议》,公司将以2,048,803.63元人民币的价格受让王本银所持有飞达音响1%的股权。
(二)关联关系
飞达音响为公司的控股子公司,公司持有飞达音响75.4091%的股权。飞达音响另一自然人股东沈火土先生持有飞达音响3.5909%的股权,沈火土先生系公司实际控制人、董事长沈庆凯先生之近亲属。根据《深圳证券交易所股票上市规则》等的有关规定,本次公司购买非关联人股权增加了共同投资份额,构成关联共同投资。
(三)审议程序
2023年8月25日,公司召开了第三届董事会第十五次会议,以4票同意,0票反对,0票弃权审议通过了《关于签署〈股权转让协议〉暨关联交易的议案》,关联董事沈庆凯先生、郭丽勤女士、郭荣祥先生回避表决。公司独立董事对本次关联交易发表了事前认可意见和同意的独立意见。
根据《深圳证券交易所股票上市规则》及《公司章程》等有关规定,本次关联交易事项在公司董事会审批权限内,无需提交公司股东大会审议。
本次关联交易不构成《上市公司重大资产重组管理办法》规定的重大资产重组。
二、关联方及交易对手方的基本情况
(一)关联方基本情况
1、姓名:沈火土
2、国籍:中国
3、身份证号码:4305831972*******
4、是否为失信被执行人:否
5、与公司的关联关系:沈火土先生持有飞达音响3.5909%股权,沈火土先生为公司实际控制人、董事长沈庆凯先生之近亲属。根据《深圳证券交易所股票上市规则》等的有关规定,本次公司购买非关联人股权增加了共同投资份额,构成关联共同投资。
(二)交易对手方基本情况
1、姓名:王本银
2、国籍:中国
3、身份证号码:4130281976*******
4、住所:广东省广州市番禺区
5、工作单位:广州飞达音响有限公司
6、是否为失信被执行人:否
三、交易标的基本情况
1、公司名称:广州飞达音响有限公司
2、统一社会信用代码:914401016187502768
3、住所:广州市花都区炭步飞达工业园
4、法定代表人:沈庆凯
5、注册资本:3800万元人民币
6、经营范围: 舞台灯光、音响设备安装服务;销售本公司生产的产品(国家法律法规禁止经营的项目除外;涉及许可经营的产品需取得许可证后方可经营);照明灯光设计服务;智能化安装工程服务;电子自动化工程安装服务;工程技术咨询服务;信息电子技术服务;电力电子技术服务;软件批发;电子产品批发;灯光设备租赁;通信工程设计服务;电子工程设计服务;照明灯具制造;电子乐器制造;乐器批发;乐器零售;照明系统安装;电力工程设计服务;音频和视频设备租赁;策划创意服务;音响设备制造;货物进出口(涉及外资准入特别管理规定和许可审批的商品除外)。
7、股权结构(本次交易前):
8、主要财务数据:
单位:元
9、是否为失信被执行人:否
四、关联交易协议的主要内容
本协议由王本银(甲方)与广东朝阳电子科技股份有限公司(乙方)就广州飞达音响有限公司股权转让事宜,本着平等互利的原则,经友好协商达成。协议的主要内容如下:
1、甲方将其所持飞达音响1%的股权(对应认缴出资38万元,实缴出资38万元,下称“目标股权”)转让给乙方,股权转让价格为2,048,803.63元人民币(下称“本次股权转让价款”)。
2、本合同生效之日起,目标股权即归乙方所有,甲方在广州飞达音响有限公司就目标股权所享有的相应的权利和义务,随股权转让而转由乙方享有与承担。
3、乙方在完成代扣代缴甲方应缴纳个人所得税及印花税之日起5个工作日内,将本次股权转让款支付给甲方如下指定银行账户。
4、如因乙方原因导致逾期支付股权转让价款的,则每逾期一日,乙方应按照应付未付金额的万分之四为标准向甲方支付违约金。
5、甲方在收到乙方支付的股权转让价款余额之日起5个工作日内配合办理股权变更登记,配合提供相关证件、签署相关文件,否则每逾期一日,应按照本次股权转让价款的万分之四为标准向乙方支付违约金,甲方承担违约责任后须继续履行配合股权转让变更登记义务。
6、 发生下列情况之一时,可变更或解除合同:
(1)由于不可抗力或由于一方当事人虽无过失但无法防止的外因,致使本合同无法履行。
(2)一方当事人丧失实际履约能力。
(3)由于一方或二方违约,严重影响了守约方的经济利益,使合同履行成为不必要。
(4)因情况发生变化,经过双方协商同意变更或解除合同。
7、因本合同书引起的或与本合同书有关的任何争议,甲乙双方应友好协商解决,如协商不成,任何一方有权向广州飞达音响有限公司注册地人民法院起诉。
8、本合同经各方签署后成立,自乙方董事会审议通过之日起生效。
五、关联交易的定价政策和定价依据
本次股权转让交易定价以甲方初始投资成本为基础,并参考飞达音响2022年度经营状况及公司前次收购飞达音响75.4091%股权采用的估值方法确定交易价格。本次交易定价遵循平等自愿、双方友好协商的原则,不存在损害公司和股东特别是中小股东利益的情形。
六、关联交易对公司的影响
本次公司向飞达音响小股东收购股权,符合公司发展战略,股权转让资金为公司自有资金,不会对公司正常生产经营产生不利影响,交易各方在本次事项中遵循平等自愿的原则,不存在损害公司及全体股东利益的情形。
七、与该关联人累计已发生的各类关联交易情况
截至本公告披露日,本年度公司与关联人沈火土先生未发生关联交易。
八、独立董事事前认可和独立意见
(一)独立董事事前认可意见
根据《深圳证券交易所股票上市规则》、《上市公司独立董事规则》、《深圳证券交易所上市公司自律监管指引第1号一一主板上市公司规范运作》及《公司章程》等法律规范、规章制度、规范性文件的相关规定,作为广东朝阳电子科技股份有限公司独立董事,本着认真负责的态度,基于独立判断立场,我们认真审阅了公司第三届董事会第十五次会议拟审议的《关于签署〈股权转让协议〉暨关联交易的议案》及相关资料,对该事项发表如下事前认可意见:
公司收购控股子公司小股东的股权事项遵循平等自愿的原则,相关交易事项不会影响公司独立性,没有损害公司及全体股东特别是中小股东的利益,同意将此议案提交公司第三届董事会第十五次会议审议,关联董事需回避表决。
(二)独立董事意见
经核查,我们认为:公司本次向非关联方收购子公司股权事项增加了关联共同出资份额,构成了关联共同投资,该事项的决策程序符合《深圳证券交易所股票上市规则》、《深圳证券交易所上市公司自律监管指引第1号一一主板上市公司规范运作》等法律法规、《公司章程》、公司《关联交易管理制度》等有关规定,关联董事对关联交易事项回避了表决。交易定价公允,不存在损害公司和非关联股东利益的情形,符合公司长远发展。因此,我们一致同意公司本次向非关联方收购股权暨关联交易事项。
九、备查文件
1、第三届董事会第十五次会议决议;
2、独立董事关于第三届董事会第十五次会议有关事项的事前认可意见;
3、独立董事关于第三届董事会第十五次会议有关事项的独立意见。
特此公告。
广东朝阳电子科技股份有限公司董事会
2023年8月28日
证券代码:002981 证券简称:朝阳科技 公告编号:2023-032
广东朝阳电子科技股份有限公司
关于续聘2023年度会计师事务所的
公告
本公司及董事会全体成员保证信息披露的内容真实、准确、完整,没有虚假记载、误导性陈述或重大遗漏。
广东朝阳电子科技股份有限公司(以下简称“公司”)于2023年8月25日召开了第三届董事会第十五次会议,审议通过了《关于续聘2023年度会计师事务所的议案》,拟续聘容诚会计师事务所(特殊普通合伙)(以下简称“容诚会计师事务所”)担任公司2023年度财务报表及内部控制的审计机构,该议案尚需提交股东大会审议。现将有关情况公告如下:
一、机构信息
1.基本信息
容诚会计师事务所(特殊普通合伙)由原华普天健会计师事务所(特殊普通合伙)更名而来,初始成立于1988年8月,2013年12月10日改制为特殊普通合伙企业,是国内最早获准从事证券服务业务的会计师事务所之一,长期从事证券服务业务。注册地址为北京市西城区阜成门外大街22号1幢外经贸大厦901-22至901-26,首席合伙人肖厚发。
2.人员信息
截至2022年12月31日,容诚会计师事务所共有合伙人172人,共有注册会计师1,267人,其中651人签署过证券服务业务审计报告。
3.业务规模
容诚会计师事务所经审计的2022年度收入总额为266,287.74万元,其中审计业务收入254,019.07万元,证券期货业务收入135,168.13万元。
容诚会计师事务所共承担366家上市公司2022年年报审计业务,审计收费总额42,888.06万元,客户主要集中在制造业(包括但不限于计算机、通信和其他电子设备制造业、专用设备制造业、电气机械和器材制造业、化学原料和化学制品制造业、汽车制造业、医药制造业、橡胶和塑料制品业、有色金属冶炼和压延加工业、建筑装饰和其他建筑业)及信息传输、软件和信息技术服务业,建筑业,批发和零售业,水利、环境和公共设施管理业,交通运输、仓储和邮政业,科学研究和技术服务业,电力、热力、燃气及水生产和供应业,文化、体育和娱乐业,采矿业、金融业,房地产业等多个行业。容诚会计师事务所对广东朝阳电子科技股份有限公司所在的相同行业上市公司审计客户家数为260家。
4.投资者保护能力
容诚会计师事务所已购买注册会计师职业责任保险,职业保险购买符合相关规定;截至2022年12月31日累计责任赔偿限额9亿元。
近三年在执业中无相关民事诉讼承担民事责任的情况。
5.诚信记录
容诚会计师事务所近三年因执业行为受到刑事处罚0次、行政处罚0次、监督管理措施9次、自律监管措施1次、自律处分1次。
5名从业人员近三年在容诚会计师事务所执业期间因执业行为受到自律监管措施各1次,3名从业人员近三年在容诚会计师事务所执业期间因执业行为受到自律处分各1次;23名从业人员近三年在容诚会计师事务所执业期间受到监督管理措施各1次,2名从业人员近三年在容诚会计师事务所执业期间受到监督管理措施各2次。
6名从业人员近三年在其他会计师事务所执业期间受到监督管理措施各1次。
二、项目信息
1.基本信息
项目合伙人:邓小勤,2003年7月成为中国注册会计师并开始从事上市公司审计,2020年开始在容诚会计师事务所执业,在2022年开始为公司提供审计服务。近三年签署了浩洋股份、清源股份等上市公司审计报告。
项目签字注册会计师:刘根,2013年成为中国注册会计师,2011年开始从事上市公司审计工作,2020年开始在容诚会计师事务所执业,2020年开始为朝阳科技提供审计服务。近三年签署过众业达、朝阳科技等上市公司审计报告。
项目质量复核人:戴玉平,1998年成为中国注册会计师,2008年开始从事上市公司审计业务,2020年开始在容诚会计师事务所执业,近三年复核过多家上市公司和挂牌公司审计报告。
2.上述相关人员的诚信记录情况
项目合伙人邓小勤、签字注册会计师刘根、项目质量复核人戴玉平近三年内未曾因执业行为受到刑事处罚、行政处罚、监督管理措施和自律监管措施、纪律处分。
3.独立性
容诚会计师事务所及上述人员不存在违反《中国注册会计师职业道德守则》对独立性要求的情形。
4.审计收费
审计收费定价原则:公司拟参考2022年度财务报表及内部控制审计费用,根据公司的业务规模、所处行业和会计处理复杂程度等多方面因素,并根据公司年报审计需配备的审计人员情况和投入的工作量以及事务所的收费标准确定最终的审计收费。
公司董事会提请股东大会授权公司管理层与会计师事务所签署相关协议并根据行业标准和公司审计工作的实际情况决定其报酬。
三、拟续聘会计师事务所的审议程序
1、 审计委员会履职情况
公司审计委员会审议通过了《关于续聘2023年度会计师事务所的议案》。审计委员会委员通过对会计师事务所提供的资料审核,结合年度审计工作沟通及监督情况,作出专业判断,认为容诚会计师事务所(特殊普通合伙)在独立性、专业胜任能力、投资者保护能力、诚信状况等方面能够满足公司对于审计机构的要求,同意向董事会提议续聘容诚会计师事务所为公司2023年度财务报表及内部控制的审计机构。
2、 独立董事的事前认可意见
独立董事审阅了相关资料,对容诚会计师事务所(特殊普通合伙)的从业资质、专业胜任能力、投资者保护能力、诚信状况及独立性进行了仔细核查,并基于独立判断立场,发表如下事前认可意见:容诚会计师事务所(特殊普通合伙)所具备证券、期货相关业务执业资格,具备为上市公司提供审计服务的经验与能力,能为公司提供公正、公允的审计服务,满足公司2023年度审计工作的要求。同意将该议案提交公司第三届董事会第十五次会议审议。
3、 独立董事的独立意见
经核查,我们认为:容诚会计师事务所(特殊普通合伙)在为公司提供审计
服务期间表现出了良好诚信和职业道德,在执业过程中坚持独立审计原则,能按时为公司出具相关专业报告,报告内容客观、公正,满足公司财务审计工作要求。此次续聘容诚会计师事务所(特殊普通合伙)有利于保障上市公司审计工作的质量,有利于保护上市公司及其他股东利益、尤其是中小股东利益,容诚会计师事务所(特殊普通合伙)具备足够的独立性、专业胜任能力、投资者保护能力,审议程序符合相关法律法规的有关规定。我们同意续聘容诚会计师事务所为公司2023年度的审计机构,并将该议案提交公司股东大会审议。
4、董事会审议情况
公司于2023年8月25日召开了第三届董事会第四次会议,以7票赞成,0票反对,0票弃权审议通过了《关于续聘2023年度会计师事务所的议案》。
5、生效日期
本议案尚需提交公司股东大会审议,并自公司股东大会审议通过之日起生效。
四、备查文件
1.第三届董事会第十五次会议决议;
2、第三届董事会审计委员会第十二次会议决议;
3、独立董事关于第三届董事会第十五次会议有关事项的事前认可意见;
4、独立董事关于第三届董事会第十五次会议有关事项的独立意见;
5、拟续聘会计师事务所关于其基本情况的说明。
特此公告。
广东朝阳电子科技股份有限公司董事会
2023年8月28日
证券代码:002981 证券简称:朝阳科技 公告编号:2023-034
广东朝阳电子科技股份有限公司关于
补选第三届监事会非职工代表监事的
公告
本公司及监事会全体成员保证信息披露的内容真实、准确、完整,没有虚假记载、误导性陈述或重大遗漏。
广东朝阳电子科技股份有限公司(以下简称“公司”)监事会于8月15日收到公司第三届监事会主席孙逸文先生、非职工代表监事明幼阶先生提交的辞职报告,孙逸文先生因个人原因申请辞去公司监事及监事会主席职务;明幼阶先生因个人原因申请辞去公司监事职务。具体内容详见公司于2023年8月16日在巨潮资讯网上披露的《关于监事辞职的公告》(公告编号:2023-027)。
公司于2023年8月25日召开第三届监事会第十五次会议,审议通过了《关于补选第三届监事会非职工代表监事的议案》。根据《公司法》、《深圳证券交易所上市公司自律监管指引第1号一一主板上市公司规范运作》及《公司章程》的有关规定,经公司监事会提名并审核相关人员的工作履历和任职资格,同意补选陈是建先生、罗琼女士为公司第三届监事会非职工代表监事候选人,任期自公司股东大会审议通过之日起至第三届监事会任期届满之日止。
特此公告。
广东朝阳电子科技股份限公司监事会
2023年8月28日
第三届监事会非职工代表监事候选人简历
陈是建先生,中国国籍,无境外永久居留权,1984年3月出生,大专学历。曾任福建星云电子股份有限公司PMC经理、广东斯泰克电子有限公司PMC经理; 2021年3月至今任朝阳科技业务部运营总监。
陈是建先生未持有公司股票,与公司持股5%以上的股东、实际控制人以及其他董事、监事、高级管理人员之间不存在关联关系;未受过中国证监会及其他有关部门的处罚和证券交易所纪律处分;不存在因涉嫌犯罪被司法机关立案侦查或者涉嫌违法违规被中国证监会立案稽查,尚未有明确结论的情形;未被中国证监会在证券期货市场违法失信信息公开查询平台公示或者被人民法院纳入失信被执行人名单;不存在《深圳证券交易所上市公司自律监管指引第1号一一主板上市公司规范运作》第3.2.2条所规定的不得提名为监事的情形。
罗琼女士,中国国籍,无境外永久居留权,1987年2月出生,本科学历。曾任歌尔智能科技有限公司运营项目经理,2021年11月起任朝阳科技运营经理。
罗琼女士未持有公司股票,与公司持股5%以上的股东、实际控制人以及其他董事、监事、高级管理人员之间不存在关联关系;未受过中国证监会及其他有关部门的处罚和证券交易所纪律处分;不存在因涉嫌犯罪被司法机关立案侦查或者涉嫌违法违规被中国证监会立案稽查,尚未有明确结论的情形;未被中国证监会在证券期货市场违法失信信息公开查询平台公示或者被人民法院纳入失信被执行人名单;不存在《深圳证券交易所上市公司自律监管指引第1号一一主板上市公司规范运作》第3.2.2条所规定的不得提名为监事的情形。
